
前言
由于其丰富的水和阳光,由太阳能提供动力,从水中产生的氢,被认为是最有利可图和可持续的化石燃料替代品之一。
目前正在研究的从水中提取氢的技术有电解、光解、生物处理技术和热分解等。其中,光催化分解水技术因其生产成本低、太阳能转化氢(STH)效率高、易于氢和氧分离以及可用于大型和小型设施而被认为是最有前途的技术之一。
然而,目前达到的STH效率、稳定性和生产成本都不足以保证大规模的生产。西挪威应用科技大学HåkonEidsvåg等人基于这些结果和之前论文的结果,决定在3Hb-MoS2中加入Al,Co,I,N和Ni,以观察这将如何影响吉布斯自由能和能带结构。通过DFT计算,团队研究了取代掺杂(Mo和S都被掺杂剂取代)对吉布斯自由能、带隙、光谱、稳定性和电荷密度的影响,展示了通过掺杂可以创造出具有高STH效率潜力的MoS2催化剂。
计算方法
本研究中计算都是通过VASP代码使用周期密度泛函理论框架进行的,使用投影增广波(PAW)方法来描述核(Mo:[Kr]和S:[Ne])与价电子之间的相互作用,利用Perdew−Burke−Ernzerhof(PBE)交换相关泛函对结构进行了优化,并通过DFT/vdW-DF2方法对结构进行了进一步优化。
使用VASP代码计算出结构的实际空间力常数,每个原子在x、y和z方向上以0.01Å的有限位移收敛,以得到每个二元系统的力常数矩阵。团队以前的计算表明,氧化物的结构参数只能通过使用大的能量截断来保证基集的完整性来可靠地预测。
本文截断能设置为500eV,使用Monkhorst−Pack9×9×9k网格进行结构优化,并采用4×4×4k点和严格的能量收敛准则(10-8eV)计算力常数。在布里渊区建立了不同q向量的动力学矩阵,且通过求解该矩阵,得到了声子频率特征值和声子模态特征向量。本文还使用PHONOPY代码通过声子特征向量的总和来计算热力学性质,在此基础上产生了能量-温度曲线。
结果与讨论
能量与体积和温度的关系
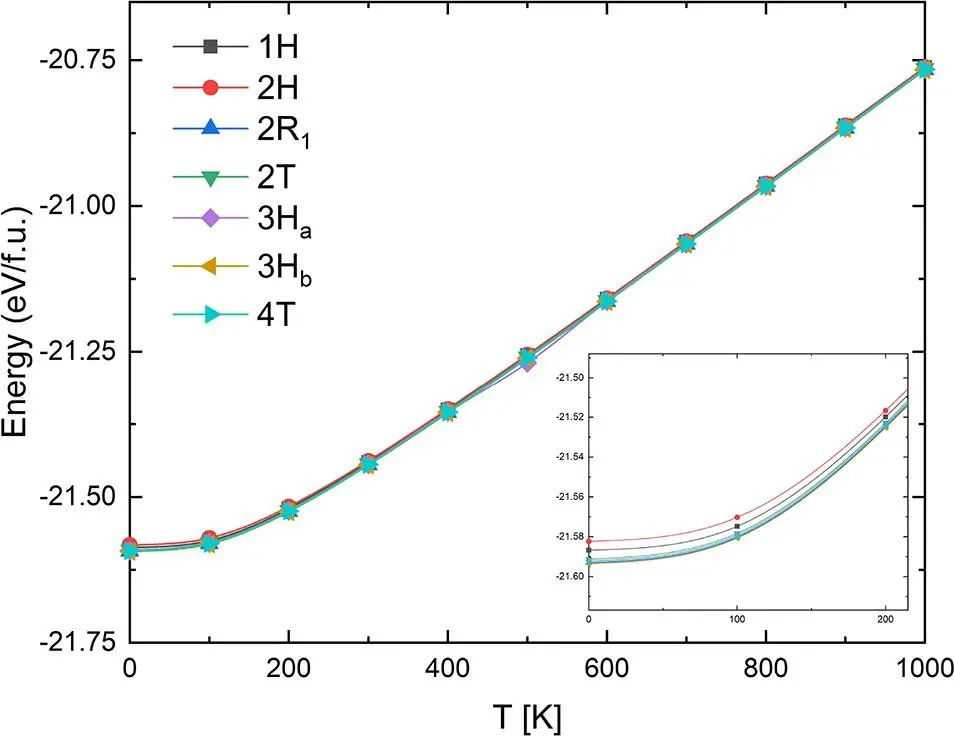
MoS2可以在三维空间中以多种不同的晶体形态存在,这是由于在六角形c轴上的堆叠顺序和连续的S-Mo-S夹层数量变化很大,不同的变体被称为1T,2H,3R,4Ha和6R。团队现在已经研究了温度如何影响多晶体的相对稳定性,以及它是否会引起任何相变。
图1显示了7种稳定晶型的能量-温度曲线。如下图所示,提高温度并没有改变晶型之间的相对稳定性。事实上,只有在400到600K之间,可以看到一个小的偏差,在500K时3Ha转变是最稳定的变形。这意味着温度对这些多态性不是一个很大的因素,人们可以为特定的应用程序选择最合适的一个,而不必考虑相变。

图1.7种晶型的能量-温度曲线光学性质
一般情况下,较为复杂的体系有其他因素影响催化活性,而d带中心理论中没有包含这些因素。
然而,本文的系统被认为是一个足够简单的特征,d带中心将表明催化活性,Pt被认为具有最有利的氢结合能-1.929eV(相对于费米能级)的d带中心的最佳位置,结果如下表1所示。与费米能级相比,1H和2T的频带中心正移;且与最优值-1.929eV相差较大。这意味着它们在反键态有更高的能量,结构表面和吸附材料之间的键更高,导致光催化反应的机会减少。
然而,d带中心越接近费米能级,载流子转移越好。2H、2R1、3Ha、3Hb和4T的d波段中心都有下移,表明它们是有效的光催化剂,尤其是2R1和3Ha,d波段中心值分别为-1.520和-1.541eV,d波段中心值离最优值-1.929eV不远。与其他结构相比,H的结合强度较低,因此需要从表面移除的能量较少,生成H2原子。
表1.稳定晶型的d带中心
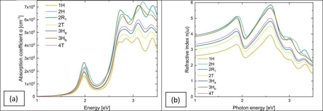
所有的晶型在2eV(620nm)处的吸收系数上升幅度相同,对应的是橙色光;在2.7~3.5eV(460~355nm)处的吸收系数上升幅度更大、更宽,对应的是蓝色和紫色可见光范围。这说明晶型可以吸收可见光光谱两端的光子,但仍有相当数量的光子未被吸收,这可以通过引入掺杂剂来提高,掺杂剂会影响多形体的光学性质,使多形体适应光催化分解水的特定需要。
本文的计算表明,2R1(2.67×105cm-1)在可见光谱中具有最高的吸收系数,其次是在2.33×105和2.28×105cm-1处的2H和3Hb,1H在可见区吸收系数最低,为1.62×105cm-1。从吸收系数来看,2R1、2H和3Hb是光催化分解水的最佳候选材料。材料的折射率(图2b)决定了光在材料内部的传播方式,折射率越高,光通过材料的速度就越慢。这导致材料中较高的辐照度,这提高了材料的光催化活性,可以看到2R1,2H和3Hb在可见区域有5左右的最大峰值。
这意味着它们被归类为高折射率材料(),使它们成为光子器件如太阳能电池、光子晶体和PWS的理想候选材料。这是因为它们比普通折射率材料有更大的散射截面和更小的模体积,MoS2的折射率大于TiO2(2.48-2.62)。

图2.计算出(a)吸收系数和(b)折射率吉布斯自由能
团队计算了H在三个不同位置的吸附能,选择的位置是S顶位(图3a)、S端位(图3b)和S桥位(图3c)。从计算值可以看出,不同晶型的催化活性相差不大,吉布斯值在1.75eV~1.85eV之间,ΔGH的正值表明吸附的氢与MoS2表面有很强的结合。这使得最初的Volmer步骤很容易进行,而接下来的Tafel或Heyrovsky步骤则比较困难,降低了整体STH效率。
一般认为二硫化钼的基面是接近惰性的,是其边缘有助于催化活性的发挥,本文的基面结果与Seoetal.的结果进行比较,得到了以边缘为活性位点的1L、2L和3L单层MoS2结构的吉布斯能值从-0.36变化到0.66eV,这一假设似乎是正确的。

图3.被吸附氢原子的位置。(a)顶位,(b)端位,(c)桥位。掺杂3Hb-MoS2型
3Hb-MoS2因其具有较好的电子迁移率、合适的带隙和吸收系数而被选中,且团队对Mo原子和S原子进行了替换掺杂。对于S取代,选择掺杂比例为6.250%,而对于Mo,本文选择掺杂比例为12.5%,替换了一个S原子和一个Mo原子。表2和表3显示了Al,Co,I,N或Ni掺杂3Hb-MoS2的吉布斯自由能。用Al、Co、I、N或Ni取代一个S原子会降低吉布斯自由能;然而,这些值离最优值(零)远得多。
一般情况下,负值表示吸附过程是放热的,表面将充满氢原子,阻碍了完成反应所需的其他反应物。较大的负值也意味着Hads原子与材料表面有较弱的相互作用,这导致了较慢的Volmer步和降低的整体周转率,较小的掺杂比例是不可能的,更大的掺杂比例也没有尝试过。
尽管如此,掺杂剂的加入影响了3Hb-MoS2结构的吉布斯自由能和电子结构,表明掺杂是开发新型光催化剂的有力工具。
表2.取代基掺杂3Hba的吉布斯自由能值

表3.取代基掺杂3Hba的吉布斯自由能值

当Mo原子被掺杂剂原子取代时,可以看到吉布斯自由能的明显改善,因为所有掺杂剂使其接近于零。不同的吸附位点之间也存在较大的差异,界面处的氢吸附效果最好(图3b)。这对于桥顶位置的Co具有相当高的吉布斯自由能(1eV),而对于界面位置,吉布斯自由能为-0.02eV,这使得氢被吸附在这个位置时,它是一种令人难以置信的光催化剂。
然而,在对这种化合物做出最终定论之前,必须通过实验来测试氢的产率。N掺杂MoS2的平均值最低,与边缘位点的值相当,证明掺杂MoS2基底层是一种有效的光催化剂。团队对用Al或I取代Mo和用Co或Ni取代S的GGA带隙计算如图4所示。
计算表明,10个掺杂结构中只有4个是半导体,即Mo被Al或I取代,S被Co或Ni取代。在这四种材料中,被Al取代的Mo具有中间能带隙。Mo被Co、N取代,Ni和S被Al取代为金属,而S被N取代为半各向异性金属。
这意味着材料会根据通过布里渊区的方向变成金属或半导体,这使得它们不适合光催化应用。当S被I取代时,材料成为绝缘体,不适合作为催化剂。

图4.掺杂3Hb的GGA能带结构。(a)Mo被Al取代,(b)Mo被I取代,(c)S被Co取代,(d)S被Ni取代。
此外,本文计算了在平衡体积下,沿布里渊区高对称方向的声子色散曲线,这些结果如图5和图6所示。如图5b-d所示,一个Mo原子被一个Co原子、一个I原子或一个N原子取代的3Hb结构具有明显而独特的虚频,这使得结构动态不稳定。图5a,e所示的虚频被认为是由超胞产生的晶格畸变引起的。这些扭曲的影响可以通过改变晶胞的大小来解决。
声子计算也需要非常精确的力,而体积松弛计算使用10-6作为精度极限。这种精度上的差异可能导致了在Al或Ni中看到的这些小的虚频,另一种可能的解释是声子计算输入文件中的磁矩略有错误。磁矩相当小的差异可以帮助稳定结构。在此基础上,认为这两种结构是动态稳定的。

图5.3Hb掺杂(a)Al、(b)Co、(c)I、(d)N和(e)Ni对Mo的声子态的声子密度。
对于图6中S取代的结构,可以看到相同类型的变化,如图5a、e所示,用Mo替换S(图6a)和I(图6c)出现了相同的变化。而对于S,分别用Co,N,或Ni替换,图6b,d,e,虚频接近于零。因此,团队可以得出所有的S取代结构都是动态稳定的。

图6.当S取代(a)Al,(b)Co,(c)I,(d)N和(e)Ni时3Hb的声子态密度。
图7a所示的3Hb-MoS2的电荷密度图清楚地表明,电子位于单个原子周围。此外,Mo-S与S-S之间的电荷分布表明,Mo-S与S-S之间的键合以离子型为主。图7b中的电荷转移图显示了Mo原子周围的电荷消耗,得到了S原子周围和Mo和S原子之间的电荷积累。
电子局域函数(ELF),图7c是一种测量电子空间定位的方法,有助于在多电子系统中映射电子对概率。本文的ELF结果与电荷转移图的结果一致,因此团队可以期望在S原子之外发现电子。
图7.计算3Hb-MoS2的(a)电荷密度图、(b)电荷转移图和(c)电子定位函数。
结论与展望
本文研究了7种MoS2晶型的相变,并利用d能带中心、吉布斯自由能和吸收系数等催化指标分析了它们的光催化性能。本文选择了最有前途的候选材料3Hb-MoS2进行进一步的研究,并在两个不同的位置用Al、Co、I、N和Ni原子取代掺杂。
本研究表明:不同掺杂的3Hb-MoS2能产生不同的带隙,只有4种被认为是半导体:Mo被Al和I取代,S被Co和Ni取代,用I代替S是绝缘体,剩下的5个结构,Mo被Co、N或Ni取代,S被Al或N取代,是金属结构。这使得合成并对这些结构进行实验测试成为可能。
通过掺杂降低了3Hb-MoS2的吉布斯自由能,使基面与边缘位竞争,尤其是N对Mo的竞争。
研究表明,用Al取代掺杂Mo原子的3Hb-MoS2是一种很有前景的光催化分解水的方法。但是,最佳掺杂率和最佳掺杂剂还需要通过进一步的理论和实验研究来找到。未来的工作还应该研究掺杂剂是否引入了新的光催化位点以及是否促进了载流子分离和载流子迁移,从而提高整体STH的效率。
文献信息
EidsvågH,VajeestonP,[J].ACSomega,2023.
“MS杨站长”(全平台同名),了解更多计算干货,还有超多学习资料!